이 글에서는 배관 설계에서 가장 기본이 되는 Pipe Sizing을
유량, 유속, 압력손실 관점에서 정리한다.
현장에서 바로 쓸 수 있는
- 권장 유속 범위,
- 지름 산출식,
- 간단 예제까지 포함해서
“대충 감으로 잡는 배관 사이즈”가 아니라
논리적으로 설명 가능한 배관 선정 기준을 만드는 것이 목표다.
1. 왜 배관 사이징이 중요할까?
배관 지름을 너무 작게 잡으면
- 유속이 과도하게 올라가고
- 압력손실이 커지고
- 펌프 마력이 커지며
- 캐비테이션, 소음, 침식 문제가 생긴다.
반대로 너무 크게 잡으면
- 배관·밸브·피팅 비용이 올라가고
- 설치 공간이 커지고
- 유속이 너무 낮아 침전, Slurry 침강, 온도손실이 커진다.
결국 Pipe Sizing의 목표는
- 적절한 유속 범위 안에서
- 허용 가능한 압력손실로
- 가장 경제적인 지름을 선택하는 것이다.
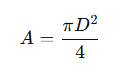
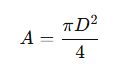
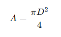
2. 기본 개념 – Q, v, A 관계식

Pipe Sizing은 결국 이 한 줄에서 출발한다.
- 유량 [m³/s]
- 유속 [m/s]
- 단면적 [m²]
관계식:
Q=v⋅A
원형 배관의 단면적:

따라서 지름 D는

즉,
- 설계 유량 Q
- 허용 유속 v
이 두 가지가 정해지면
필요한 내경(D)을 바로 계산할 수 있다.
3. 유체별 권장 유속 범위(실무 감각용)
실제 설계에서는 “유체 종류에 따라” 권장 유속 범위를 먼저 정한다.
아래는 현장에서 많이 쓰는 범위 수준이다.
| 유체/라인 | 권장 유속 범위 (m/s) | 비고 |
| 청수, UPW 본관 | 1.0 ~ 2.0 | 소음·압손 적당 |
| 산업용 냉각수 | 1.5 ~ 2.5 | 약간 빠르게 허용 |
| 점도 낮은 케미칼 | 0.8 ~ 1.5 | 재질, 부식 고려 |
| 고점도 케미칼 | 0.3 ~ 1.0 | 압손 급증 주의 |
| Slurry 라인 | 1.2 ~ 2.5 | 침강 방지 위해 일정 이상 필요 |
| 압축공기(Main) | 10 ~ 20 | 공기라 유속을 높게 허용 |
| 포화 증기 | 15 ~ 30 | 응축, 소음 고려 |
| 배수/중력배관 | 0.6 ~ 3.0 | 최소 유속 0.6m/s 이상 권장 |
이 표에서 “중간값”을 기준 유속으로 두고,
그 유속에 맞춰 배관 내경을 계산한 뒤
표준 규격(NPS, KS, JIS)에 맞추어 올림/내림 선택한다.
4. Pipe Sizing 절차 – 5단계
실무에서 가장 쓰기 좋은 형태로 절차만 정리하면 다음과 같다.
- 설계 유량 Q 결정
- 최대 운전 유량, 피크 부하, 여유율 고려.
- 유체 물성 파악
- 밀도, 점도, 온도, 허용 압력, 재질 적합성.
- 유체 종류별 권장 유속 v 선정
- 위 표에서 적절한 값을 선택.
- 연속방정식으로 내경 D 계산

표준 배관 규격으로 치환 + 압력손실 검토
- 계산된 D에 가장 가까운 NPS 선택
- Darcy–Weisbach 식 등으로 ΔP 확인
- 펌프 선정, 말단 압력 조건 만족 여부 검토.
5. 간단 실무 예제
5.1 예제 1 – UPW 배관 사이징
조건
- 설계 유량: 5 m³/h
- 유체: 25℃ UPW (물과 유사)
- 유속 목표: 1.5 m/s
- 단위 변환
5 m³/h = 5 / 3600 ≈ 0.00139 m³/s - 내경 계산

3. 표준 규격 선택
내경 34.5 mm면
- 1¼" 또는 1½" 배관 중에서
재질, 스케줄, 연결 방식 고려해 선택.
4. ΔP 체크
라인 길이, 밸브, 피팅 손실 계수 고려해 펌프 양정과 말단 압력이 맞는지 검토.
이렇게 하면
“대충 32A면 되겠지”가 아니라
유량·유속 근거를 제시할 수 있는 사이징이 된다.
5.2 예제 2 – 압축공기 Header 라인
조건
- 설계 유량: 100 Nm³/h (압축공기)
- 허용 유속: 15 m/s
- 운전 압력: 7 barg
압축공기는 압축성 유체라 정확한 계산은 따로 해야 하지만,
실무에서는 보통 등가 유량 → 유속 기준으로 먼저 대략적인 사이즈를 잡고
추가로 압손 계산을 수행한다.
- 먼저 100 Nm³/h를 기준으로 배관 내에서의 유속이 15 m/s를 넘지 않도록 내경을 잡고
- 실제 압력, 온도 조건을 반영해 보정하는 방식.
핵심은
압축공기 라인은 유속을 너무 높이면
소음 + 압손 + 온도상승이 커지기 때문에
15~20 m/s 범위 안에서 사이징하는 습관이 중요하다.
6. Pipe Sizing에서 자주 나오는 실수들

- 유량만 보고 지름만 계산하고 끝내는 경우
- 반드시 압력손실(ΔP)까지 확인해야 한다.
- 점도 높은 유체에 물 기준 유속을 그대로 적용
- 점도가 높으면 압손이 급증한다.
- 고점도는 0.3~0.8 m/s 정도로 낮춰야 한다.
- 장래 증설을 전혀 고려하지 않는 경우
- 설비 계획이 1~2년 내 늘어날 게 확실하면
배관은 한 단계 여유를 두고 가는 게 유리하다.
- 설비 계획이 1~2년 내 늘어날 게 확실하면
- 너무 큰 배관을 무조건 “좋은 설계”로 착각
- 초기 투자비, 설치 공간, 지지 구조, 보온·배수 등
부가 비용이 폭증한다.
- 초기 투자비, 설치 공간, 지지 구조, 보온·배수 등
7. 정리 – Pipe Sizing의 핵심 포인트 세 가지
- 유량 Q와 허용 유속 v를 먼저 정한다.
- 연속방정식으로 내경 D를 계산한다.
- 표준 배관 규격으로 치환한 뒤, 압력손실과 펌프 조건을 다시 확인한다.
배관 사이징은 복잡한 이론보다
“유량–유속–압손” 이 세 가지 균형을 어떻게 잡느냐가 핵심이다.
이 글에 나온 절차와 유속 기준만 몸에 익혀도
앞으로 배관 사이즈 논쟁에서 “감이 아니라 근거를 가지고 말할 수 있는 엔지니어” 가 된다.
PFA vs PVDF 배관 차이 – 반도체·케미칼 라인 적용 기준
PFA(Perfluoroalkoxy)와 PVDF(Polyvinylidene Fluoride)는 반도체·디스플레이·케미칼 플랜트에서 가장 널리 사용되는 불소계 배관 재질이다. 두 재질은 모두 고내화학성을 갖지만, 내열성·내금속이온·용출
www.nowdaylab.com
배관 가스켓 종류 & 선택 가이드 – 용도별 장단점 비교
배관 가스켓 종류 & 선택 가이드 – 용도별 장단점 비교핵심 요약:가스켓(Gasket)은 배관과 플랜지 연결부에서 유체 누설을 방지하는 핵심 부품입니다. 재질, 구조, 사용 환경에 따라 금속·비금속
www.nowdaylab.com
밸브 액추에이터 종류와 원리 – Pneumatic, Electric, Hydraulic 비교
이 글에서는 밸브 액추에이터(Valve Actuator)의 종류와 원리를 정리합니다.Pneumatic (공압식): 압축공기로 작동, 빠른 응답·안전성 우수Electric (전동식): 전기 모터로 구동, 제어 정밀·원격 자동화에
www.nowdaylab.com
'산업·기술 자료 > 배관·밸브·플랜지 (설계·종류·규격)' 카테고리의 다른 글
| Pipe Schedule Chart – A, NPS, DN, 두께 (0) | 2025.12.02 |
|---|---|
| PFA 튜빙 팽윤(Swelling) 발생 원인 (0) | 2025.11.27 |
| PFA vs PVDF 배관 차이 – 반도체·케미칼 라인 적용 기준 (1) | 2025.11.23 |
| 체크밸브 종류와 원리 – Swing, Lift, Wafer 비교 (0) | 2025.09.23 |
| 밸브 액추에이터 종류와 원리 – Pneumatic, Electric, Hydraulic 비교 (0) | 2025.09.23 |