필터 등급(Micron Rating)과 베타비(Beta Ratio) 이해하기
(Understanding Micron Rating and Beta Ratio in Filtration Efficiency)

1. 서론 (Introduction)
필터 효율(Filter Efficiency)을 이야기할 때 흔히 “1마이크론 필터(1µm Filter)”라고 표현하지만,
이 말만으로는 여과 성능을 정확히 알 수 없습니다.
같은 1µm 표기라도 어떤 제품은 95%만 걸러내고, 어떤 제품은 99.9%까지 제거합니다.
이 차이를 구체적으로 표현하기 위해 사용하는 지표가 Micron Rating(미크론 등급)과 Beta Ratio(베타비, β Value)입니다.
Micron은 여과 입자의 크기 단위를, Beta Ratio는 입자 제거 효율(Efficiency)을 의미합니다.
실무에서는 이 두 값을 함께 이해해야 필터의 성능을 제대로 비교할 수 있습니다.
2. Micron Rating의 의미 (Definition of Micron Rating)
Micron Rating은 필터가 제거할 수 있는 입자의 크기를 나타내며,
측정 방식에 따라 Nominal(명목등급)과 Absolute(절대등급)으로 나뉩니다.
| 구분 | Nominal Rating | Absolute Rating |
| 정의 | 특정 크기 입자의 일정 비율(70~90%) 제거 | 지정 입자 크기의 99.9% 이상 제거 |
| 예시 | 1µm Nominal = 약 80% 효율 | 1µm Absolute = 99.9% 효율 |
| 측정 방식 | 단일 패스(Single Pass) | ISO 16889 Multi-pass Test |
즉, “1µm 필터”라고 써 있어도 절대등급인지 명목등급인지 확인하지 않으면 오해가 생깁니다.
3. 베타비(Beta Ratio)란 무엇인가 (What is Beta Ratio)

Beta Ratio (βx)는 ISO 16889 표준에 따라 측정되는 필터의 효율 지표입니다.
테스트 액체에 일정 크기 입자(x µm)를 넣고, 필터 전후의 입자 개수를 비교합니다.

- N_upstream: 필터 전단(입자 유입 전) 입자 수
- N_downstream: 필터 후단(필터 통과 후) 입자 수
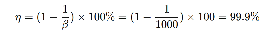
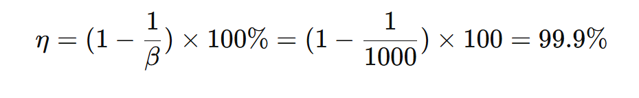
예시:
1µm 입자 기준으로 필터 전단에 10,000개의 입자가 있고 후단에 10개가 통과했다면,

→ **효율(Efficiency)**은 아래와 같습니다.

4. 효율 변환표 (Efficiency Conversion Table)
| 베타비(β) | 효율(η) (%) | 설명 |
| 2 | 50 | 입자 절반 제거 |
| 10 | 90 | 중간 수준 여과 |
| 75 | 98.7 | 고효율 Depth Filter 수준 |
| 200 | 99.5 | Pleated 또는 Pre-membrane 수준 |
| 1000 | 99.9 | 멤브레인 수준 (Absolute) |
| 5000 | 99.98 | 멸균용 Final Filter 수준 |
예시로, Pall Profile II (β200 수준)는 3µm 이하 입자에서 99.5% 효율을 보이고,
3M LifeASSURE BLA 시리즈(β1000 이상)는 동일 입자에서 99.9% 이상 제거합니다.
5. ISO 16889 Multi-pass Test 구조 (ISO 16889 Multi-pass Test Setup)

이 테스트는 여과 전후의 입자 농도를 지속적으로 측정하면서 β값을 산출합니다.
여기서 중요한 건 필터의 ‘누적 제거율(Cumulative Efficiency)’로, 단순한 순간 효율이 아닙니다.
테스트 구성은 아래와 같습니다:
- Test Fluid Tank (테스트용 탱크)
- Contaminant Feeder (오염물 공급 장치)
- Pump → Filter Housing → Particle Counter (Upstream/Downstream)
- Data Logger로 βx 계산
이 방식이 “ISO 16889 인증 필터”의 근거가 됩니다.
6. 브랜드별 등급 비교 (Brand Comparison Examples)

| 브랜드 | 제품 시리즈 | 표기 방식 | 비고 |
| Pall | Profile II, Ultipleat | βx≥200~1000 | Absolute 기준 사용 |
| 3M | Betafine, LifeASSURE | β≥100~1000 | ISO 기반 |
| Parker | Fulflo Series | Nominal 중심 | 일부 절대등급 병행 |
| Entegris | Guardian, Planarcap | β≥500~5000 | 반도체 등급 (Ultra-pure 기준) |
이 표만 봐도,
“3µm Absolute”라고 써 있어도 브랜드마다 실제 효율 차이가 있을 수 있다는 걸 알 수 있습니다.
7. 실무 적용 팁 (Practical Application Notes)
- 필터 효율은 ‘Micron’보다 ‘β값’으로 판단하라.
– β200과 β1000의 효율 차이는 4배 이상이다. - 전처리(Pre-filter)와 본여과(Main filter)를 β값 기준으로 구분하라.
– Depth β75 → Pleated β200 → Membrane β1000 - 교체 시점은 β값 급격 상승 구간에서 판단.
– ΔP 상승보다 β 값 유지율 하락이 먼저 나타난다. - β값은 점도나 온도와 무관하게 필터 자체 성능을 보여주는 절대 지표다.
8. 결론 (Conclusion)
Micron Rating은 “얼마나 작은 입자를 걸러내는가”를,
Beta Ratio는 “얼마나 확실히 걸러내는가”를 의미합니다.
β값이 높을수록 필터의 품질과 일관성이 우수합니다.
따라서 필터 비교 시 단순히 “1µm 필터”가 아니라
“β1000, Absolute 1µm 필터”인지까지 확인해야 합니다.
“Micron은 크기, Beta는 신뢰도다.”
— 필터 선정의 본질은 이 두 값을 함께 해석하는 데 있습니다.
산업용 필터의 종류와 원리 – Depth, Membrane, Pleated 비교
산업용 필터의 종류와 원리 – Depth, Membrane, Pleated 비교(Types and Mechanisms of Industrial Filters – Depth, Membrane, and Pleated)1. 서론 (Introduction)산업 공정(Industrial Process)에서 필터(Filter)는 단순한 여과 장치
www.nowdaylab.com
카트리지 필터 선정 가이드 – 유량, 점도, 차압 계산법
카트리지 필터 선정 가이드 – 유량, 점도, 차압 계산법(Cartridge Filter Selection Guide – Flow, Viscosity, and Differential Pressure Calculation)1. 서론 (Introduction)카트리지 필터(Cartridge Filter) 선정은 단순히 필터
www.nowdaylab.com
'산업·기술 자료 > FILTERATION' 카테고리의 다른 글
| 카트리지 필터 선정 가이드 – 유량, 점도, 차압 계산법 (0) | 2025.11.01 |
|---|---|
| 산업용 필터의 종류와 원리 – Depth, Membrane, Pleated 비교 (0) | 2025.11.01 |