소비 최적화 모델과 정부 지출의 관계 분석. 국제 경제 변화 속에서 소비 패턴과 정책의 영향을 연구합니다.
1. 소비 최적화 모델에서 정부지출과 소비의 관계
정부지출의 증가가 소비에 미치는 영향을 분석하기 위해, 가계가 합리적으로 소비를 최적화한다고 가정한 모델을 살펴본다. 정부는 지출을 증가시키기 위해 두 가지 방법을 사용할 수 있다.
- Case 1: 1기(현재)에 세금을 부과하여 재원을 마련 (T₁ = G)
- Case 2: 국채(B₁)를 발행하여 재원을 마련하고, 2기(미래)에 세금을 부과하여 상환 (T₂ = (1+r)B₁)
각 경우가 소비에 미치는 영향을 비교 분석해본다.
2. 소비 최적화 모델과 예산제약식
소비자의 효용함수는 생애주기 가설에 따라 다음과 같이 설정된다.

이를 만족하는 예산제약식은 다음과 같다.

여기서 S1은 저축, T1과 T2는 각 시점에서 부과되는 세금이다. 정부의 재정 정책에 따라 과 의 조합이 달라진다.
Case 1: 1기에서 세금을 부과하는 경우, 이므로 예산제약식은 다음과 같이 변형된다.

Case 2: 정부가 국채를 발행하는 경우, 2기에서 이를 상환해야 하므로:

따라서 동일한 최적화 조건에서 소비 최적화 방정식을 도출할 수 있다.
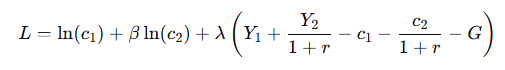
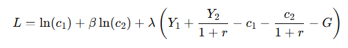
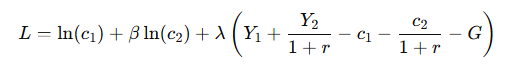
3. 최적 소비 방정식 도출
가계는 라그랑지안(Lagrangian) 함수를 사용하여 소비 최적화를 수행한다.
유틸리티 함수가 로그 함수[u(x)=ln(x)] 로 가정될 경우:

각 변수에 대해 미분하여 최적 조건을 도출하면 다음과 같은 식을 얻는다.

즉, 정부지출 증가(G ↑)는 가계의 최적 소비를 감소시키는 결과를 초래한다.
4. 정부지출 증가와 소비의 관계
4.1 정부지출 증가가 소비에 미치는 영향
- G 증가 → 현재(Y₁)에서 민간 소비 감소
- IS-LM 곡선에서 G 증가 → 이자율(r) 상승 → 소비(C) 감소
- 정부지출과민간소비는 대체관계(substitutes)
이러한 결과는 정부지출이 증가할 경우, 민간 부문의 소비를 감소시키는 구축 효과(Crowding-Out Effect)로 설명될 수 있다.
4.2 구축 효과(Crowding-Out Effect)
- 정부지출이 증가하면 총수요 증가로 인해 금리가 상승한다.
- 금리 상승은 소비와 투자를 감소시켜, 민간 부문의 경제 활동을 둔화시킬 수 있다.
- 구축 효과는 특히 고금리 환경에서 두드러지며, 장기적으로 경제 성장에 부정적인 영향을 미칠 수 있다.
4.3 최적 소비 모델에서 국채발행과 소비 분석 (리카도의 등가명제)
정부지출의 증가를 메꾸기 위해 세금을 부과하는 경우, 세율이 일정하다면 소비에 대한 영향은 동일하다는 것이 리카도의 등가명제(Ricardian Equivalence Theorem)이다. 즉, 세금 부과 시점이 언제든 동일한 효과를 가지며, 국채발행을 통한 재정지출은 장기적으로 소비에 영향을 주지 않는다.
그러나 현실에서는 정보 비대칭, 세금 회피, 유동성 제약 등으로 인해 리카도의 등가명제가 완전히 성립하지 않을 수 있다.
5. 결론
정부지출의 증가는 단기적으로는 경제성장을 촉진할 수 있지만, 장기적으로는 세금 증가, 금리 상승, 구축 효과 등으로 인해 민간 소비를 감소시킬 가능성이 크다. 따라서 정부는 지출 증가에 따른 민간 경제의 위축 효과를 고려한 정책을 수립해야 한다.
추가 차트: 정부지출과 소비 및 이자율 관계 시각화

정부지출 증가(G)와 소비 감소(C) 관계
정부지출이 증가할수록 소비가 감소하는 경향을 나타낸다. 이는 구축 효과(Crowding-Out Effect)로 인해 정부지출 증가가 민간 소비를 감소시키기 때문이다.

정부지출 증가(G)와 이자율(r) 상승 관계
정부지출이 증가할수록 이자율이 상승하는 관계를 보여준다. IS-LM 모델에서 G 증가 → 총수요 증가 → 금리 상승 → 민간 소비 및 투자 감소의 메커니즘을 설명할 수 있다.
참고 도서
- Blanchard, O. (2021). Macroeconomics. Pearson.
- Mankiw, N. G. (2022). Principles of Economics. Cengage Learning.
'NOWDAY ORIGINAL > 투자·경제 스터디 (기술적분석·경제이론)' 카테고리의 다른 글
| [차트 분석 시리즈 2편] VWAP(거래량 가중 평균가) 완벽 가이드 – 기관 투자자의 매매 전략 (0) | 2025.03.08 |
|---|---|
| [차트 분석 시리즈 1편] 피보나치 되돌림 완벽 가이드 – 매매 타이밍 잡는 법 (2) | 2025.03.08 |
| IS-LM 모형 : 금리 정책과 경제 균형 분석 (0) | 2025.03.03 |
| 중앙은행의 역할과 금리 정책: 경제의 조정자 (1) | 2025.03.03 |
| 스태그플레이션이란? 원인과 역사적 사례 (1) | 2025.03.03 |